Абай облысы білім басқармасының Аягөз ауданы білім бөлімінің «Оспанқұл Меңаяқұлы атындағы жалпы орта білім беретін мектебі»
- Информация
- Аттестация
- І. Білім беру ұйымдарының жалпы сипаттамасы
- Мектепалды даярлық тобы
- 12. Жалпы орта білім беру мазмұнына өлшемшарттар
- 13. Оқу жүктемесінің ең жоғары көлеміне өшемшарт
- 14. Білім алушылардың дайындық деңгеіне өлшемшарт
- Қосымшалар
- 6-қосымша. Өзін-өзі бағалау қорытындысы
- 7-қосымша. Педагог кадрлармен қамтамасыз етілуі
- 8-қосымша. Білім алушылар контингенті
- 9-қосымша. Материалдық-техникалық базасы
- 10-қосымша. Медициналық қызмет көрсетудың болуы
- План эвакуации
- Өрт қауіпсіздігі
- Тамақтану
- Бағалау өлшемшарттарының 2-қосымшасы
- Өзін-өзі бағалау
- О школе
- Мероприятия
- Школьникам
- Питание
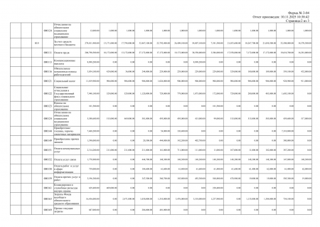
- Открытый бюджет
- Открытый орган
- Контакты
Мектеп сайты » Открытый бюджет » Открытый бюджет












